2025-04-15
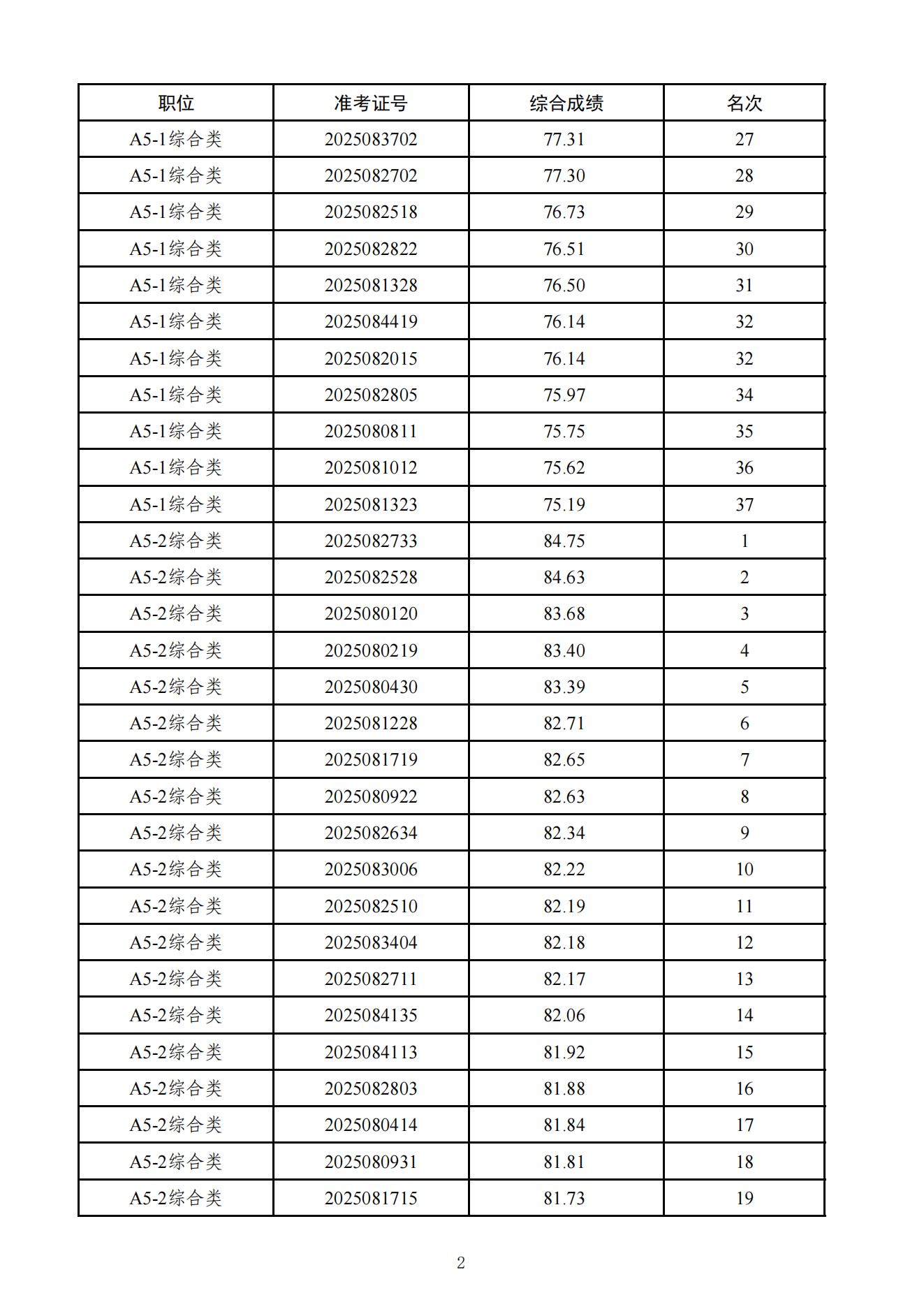
原标题:2025年青州市“优才计划”A类、B类职位面试人选综合成绩
文章来源:http://www.wfzzb.cn/2021xd/show-20272.html
上一篇: 2025年潍坊安丘市“优才计划”A类、B类职位面试人选综合成绩
下一篇:2025年潍坊临朐县“优才计划”A类、B类职位面试人选综合成绩