2025-04-15
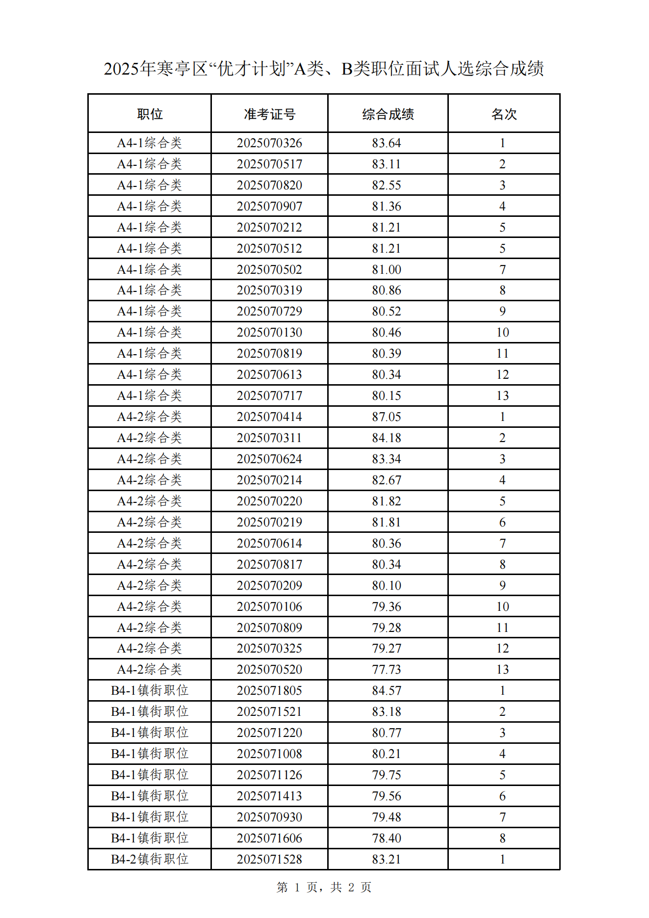
原标题:2025年寒亭区“优才计划”A类、B类职位面试人选综合成绩
文章来源:http://www.wfzzb.cn/2021xd/show-20274.html
上一篇: 2025年潍坊经济开发区“优才计划”A类、B类职位面试人选综合成绩
下一篇:2025年潍坊诸城市“优才计划”A类、B类职位面试人选综合成绩